✨Giúp Em Giỏi Toán 8 - Tập 2 (Bám Sát SGK Kết Nối Tri Thức Với Cuộc Sống) - HA













Giúp Em Giỏi Toán 8 - Tập 2 (Bám Sát SGK Kết Nối Tri Thức Với Cuộc Sống)
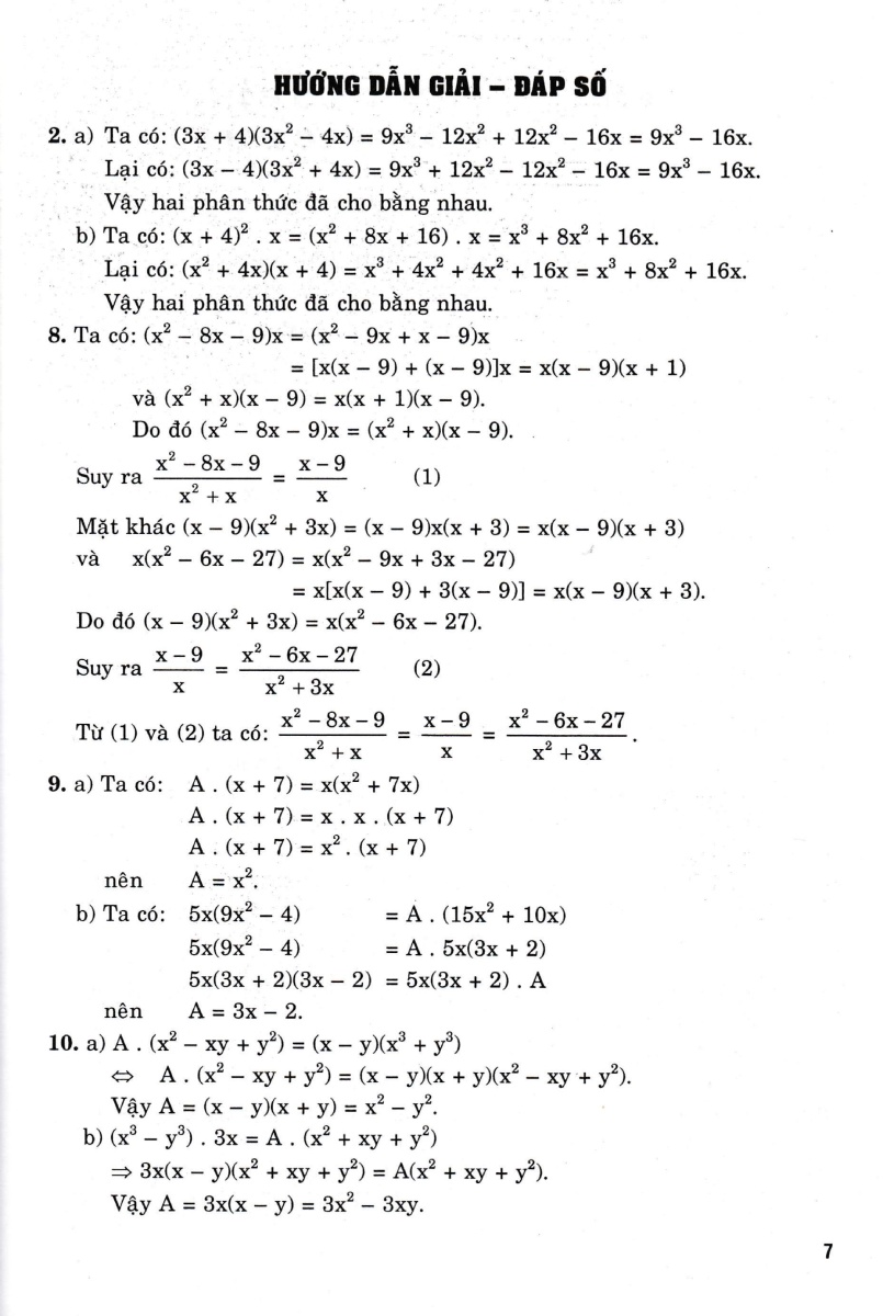
Cuốn sách Giúp em giỏi Toán 8 - Tập hai được biên soạn bám sát yêu cầu cần đạt và chuẩn kiến thức, kĩ năng theo Chương trình giáo dục phổ thông mới (2018), nhằm giúp cho học sinh khá giỏi có một tài liệu tham khảo thật bổ ích trong quá trình học toán của mình.
Trong mỗi chương, mỗi bài có nhiều bài tập dành cho học sinh tự rèn luyện. Các bài toán khó chỉ hướng dẫn tóm tắt nhằm phát huy hết năng lực học toán của học sinh. Đó là điều mà các tác giả cuốn sách này mong muốn.
Mặc dù các tác giả đã rất cố gắng trong quá trình biên soạn, song cuốn sách khó tránh khỏi những sơ suất. Các tác giả mong nhận được ý kiến góp ý từ quý thầy giáo, cô giáo và bạn đọc gần xa để cuốn sách được hoàn thiện hơn.
Công ty phát hành: Nhà Sách Hồng Ân Năm Xuất Bản: 2024 Tác Giả: Nguyễn Hạ Hà Uyên, Nguyễn Đức Tấn Kích Thước: 17 x 24 cm Số Trang: 206 Nhà Xuất bản: Đại Học Sư Phạm Bìa Mềm Barcode: 8935092829258




Định Hướng Và Phát Triển Tư Duy Giải Bài Tập Toán Khó Lớp 9 - Tập 1 (Dùng Chung Cho Các Bộ SGK Hiện Hành) “Định hướng và phát triển tư duy giải bài
Hướng Dẫn Học Tốt Ngữ Văn 9 - Tập 1 (Bám Sát SGK Cánh Diều) Mặc dù đã đồng hành cùng với chủ trương lớn của Đảng, Nhà nước - thay đổi sách
Sách - Học Tốt Khoa Học Tự Nhiên 9 (Dùng Kèm SGK Cánh Diều) - HA Quý thầy, cô, các bậc phụ huynh và các em học sinh thân mến! Sách giáo khoa Khoa học
MÔ TẢ SẢN PHẨM Sách - Học Tốt Khoa Học Tự Nhiên 9 (Dùng Kèm SGK Cánh Diều) - HA Quý thầy, cô, các bậc phụ huynh và các em học sinh thân mến! Sách
Phân Loại Và Giải Chi Tiết Các Dạng Bài Tập Toán Lớp 6 Tập 2 (Bám Sát SGK Kết Nối Tri Thức Với Cuộc Sống) Phân Loại Và Giải Chi Tiết Các Dạng Bài Tập
Nhà xuất bản : Đại Học Quốc Gia hà Nội Trang : 272 Năm xuất bản : 2022 Tác giả : nhiều tác giả Nhà phát hành : Nhà sách hồng ân Sách -
Phương Pháp Giải Toán Bất Đẳng Thức Và Cực Trị Cuốn sách Phương Pháp Giải Toán Bất Đẳng Thức Và Cực Trị do nhóm tác giả Nguyễn Văn Dũng, Võ Quốc Bá Cẩn, Trần Quốc
Kĩ Năng Giải Toán Căn Bản Và Mở Rộng Lớp 7 - Tập 1 (Dùng Chung Cho Các Bộ SGK Hiện Hành) Bộ sách Kĩ Năng Giải Toán Căn Bản Và Mở Rộng Lớp 7 được
Sách - ôn tập kiểm tra nâng cao và phát triển năng lực ngữ văn 7 thuộc bộ sách này được viết bám sát theo chương trình mới của Bộ Giáo dục và Đào tạo,
Cuốn sách gồm các chuyên đề sau : Chuyên đề 1. Biền đổi đồng nhất Chuyên đề 2. Biến đổi căn thức Chuyên đề 3. Xác định đa thức Chuyên đề 4. Hệ phương trình
MÔ TẢ SẢN PHẨM Hướng Dẫn Trả Lời Câu Hỏi Khoa Học Tự Nhiên 9 (dùng kèm SGK Kết nối tri thức với cuộc sống): Nhằm giúp quý Thầy, Cô, các bậc phụ huynh và
Sách - Giới thiệu bộ đề thi môn tiếng anh tốt nghiệp THPT (theo chương trình GDPT mới - áp dụng từ năm 2025) - HA Các em học sinh thân mến! Cuốn sách Giới
MÔ TẢ SẢN PHẨM Hướng Dẫn Trả Lời Câu Hỏi Khoa Học Tự Nhiên 9 (dùng kèm SGK Kết nối tri thức với cuộc sống): Nhằm giúp quý Thầy, Cô, các bậc phụ huynh và
Sách - ôn tập kiểm tra nâng cao và phát triển năng lực ngữ văn 7 thuộc bộ sách này được viết bám sát theo chương trình mới của Bộ Giáo dục và Đào tạo,
Chương trình Ngữ văn lớp 8 theo định hướng phát triển năng lực 2018 có nhiều thay đổi khi sử dụng ba bộ sách giáo khoa khác nhau. Sau thành công của 2 cuốn Bồi
Bài tập tiếng Anh lớp 7 (không đáp án) Sách bài tập tiếng anh lớp 7 được biên soạn dành cho học sinh lớp 7, do Nhà xuất bản Đại học Quốc gia Hà Nội
Chương trình Ngữ văn lớp 8 theo định hướng phát triển năng lực 2018 có nhiều thay đổi khi sử dụng ba bộ sách giáo khoa khác nhau. Sau thành công của 2 cuốn Bồi
Nhà cung cấp ndbooks NXB Dân Trí Tác giả Nhiều tác giả Năm XB 2025 khổ 20.5x28.5 cm Số trang: 96 trang Hệ thống bài tập theo
Công ty phát hành: Dn Tư Nhân Thương Mại Toàn Phúc Nhà xuất bản: NXB Đà Nẵng Tác giả: Nhiều Tác Giả Loại bìa: Bìa Mềm Số trang: 288 Năm xuất bản: 2021
Sách - Hướng dẫn viết, nói & nghe các dạng văn lớp 9 tập 1 + ha Trong chương trình giáo dục phổ thông tổng thể 2018, cùng với các môn học khác, môn Ngữ
Sách - Tuyển tập đề thi tốt nghiệp THPT môn hóa học (Cấu trúc đề thi 2025) - HA Kỳ thi tốt nghiệp trung học phổ thông từ năm 2025 sẽ thực hiện theo Chương
Sách - Hướng dẫn viết, nói & nghe các dạng văn lớp 9 tập 2 + ha Trong chương trình giáo dục phổ thông tổng thể 2018, cùng với các môn học khác, môn Ngữ
Kiến Thức Cơ Bản Và Nâng Cao Khoa Học Tự Nhiên Môn Hóa Học 9 (Theo Chương Trình Giáo Dục Phổ Thông Mới - Dùng Chung Cho Các Bộ SGK Hiện Hành) Môn Hóa cũng
Sách - Giúp em giỏi toán 9/1 (bám sát sgk kết nối tri thức với cuộc sống) - HA Cuốn sách Giúp em giỏi Toán 9 – Tập một được biên soạn bám sát
Các em học sinh thân mến! Thị trường sách tham khảo dành cho học sinh THCS đã khá nhiều. Song với kinh nghiệm tích luỹ trong nhiều năm và để giúp các em học
Nội dung của mỗi bài học đó là các định nghĩa, các công thức toán học, các định lí mà mỗi học sinh cần nhớ, đồng thời phải biết vận dụng các kiến thức để
Sách - Hướng dẫn học và giải các dạng bài tập Toán 9/1 (bám sát SGK Kết nối tri thức với cuộc sống) -HA Với mong muốn giúp học sinh phát triển phẩm chất và
Sách - Bài giảng & lời giải chi tiết tiếng anh 9 (bám sát sgk i-learn smart world) Cuốn sách Bài giảng và lời giải chi tiết Tiếng Anh 9 được biên soạn nhằm mục
được biên soạn bởi các tác giả là chuyên gia, nhà khoa học, nhà giáo giàu kinh nghiệm về giáo dục phổ thông. Bộ sách được biên soạn vừa giúp học sinh củng cố các
được biên soạn bởi các tác giả là chuyên gia, nhà khoa học, nhà giáo giàu kinh nghiệm về giáo dục phổ thông. Bộ sách được biên soạn vừa giúp học sinh củng cố các
-------------------------giới thiệu sách-------------------- -35 đề thi then chốt vào lớp 6 -Đề thi phong phú , đa dạng bám sát chương trình của Bộ giáo dục & Đào tạo -Có đáp án (tặng
Sách - Hướng dẫn và minh họa viết đoạn văn nghị luận xã hội 200 chữ (dùng chung cho các bộ sgk hiện hành) - HA Các em học sinh 12 thân mến! Trong cấu
Mô tả sản phẩm Giới thiệu Sách - [ Lớp 4 lên lớp 5 ] - Bộ đề ôn tập hè Vui Học Toán Hè lớp 4 lên lớp 5 Bộ đê ôn tập trong
Sách - Combo Hướng dẫn học và giải các dạng bài tập Toán 6 (Tập 1+Tập 2) Gồm 2 cuốn : Hướng dẫn học và giải các dạng bài tập Toán 6 - Tập 1
Từ năm học 2021-2022, chương trình và sách giáo khoa Ngữ văn Trung học Cơ sở mới được triển khai dạy và học trên phạm vi toàn quốc. Để góp phần giúp giáo viên, phụ
Bạn đang tìm kiếm một người bạn đồng hành tin cậy để vượt qua các kỳ thi học sinh giỏi Toán lớp 9? Bạn mong muốn tiếp cận những dạng toán chuyên sâu, tư duy
Sách ôn thi thpt quốc gia 2025, Sách ôn thi tốt nghiệp môn Vật Lí 1. Mô tả Sách ôn thi thpt quốc gia 2025, Sách ôn thi tốt nghiệp môn Vật Lí - Đề
Sách có hai tập, bám sát các nội dung cơ bản theo định hướng phát triển năng lực đọc, viết, nói và nghe của sách giáo khoa Ngữ văn 9 bộ “Kết Nối Tri Thức".
Bồi Dưỡng Học Sinh Giỏi Toán 9 (Luyện Thi Vào Lớp 10) Sách nhằm góp thêm vào tủ sách của bạn đọc một tài liệu bồi dưỡng học sinh giỏi lớp 9 và luyện thi
Các em học sinh lớp 7 yêu quýt Sau một năm lớp 6 học tập môn Ngữ văn, các em đã được tiếp xúc với các văn bản miêu tả, tự sự, biểu cảm, nghị
Sách - Tự tin luyện thi vào lớp 10 môn hóa học dành cho học sinh lớp 9 (dùng chung các bộ sgk hiện hành) Quý Thầy, Cô cùng các em học sinh thân
Sách - Bài tập phát triển năng lực Ngữ văn 8 tập 1 (Chân trời) THÔNG TIN CHI TIẾT Sách - Bài tập phát triển năng lực Ngữ văn 8 tập 1 (Chân trời)
•Phần 1. Định hướng và phát triển tư duy giải bài tập toán khó. Trong từng bài là các bài toán tương tự các bài tập trong sách giáo khoa, bài tập quen thuộc,
Thông tin chi tiết: Công ty phát hành: Sách Nhân Dân Tác Giả : Nguyễn Hồng Quân Số trang : 185 Năm xuất bản : 2022 Khổ sách : 19x27cm Hình thức : bìa
Làm bài kiểm tra là một phần quan trọng trong quá trình học tập của học sinh. Bài kiểm tra không những giúp giáo viên đánh giá chất lượng học tập của học sinh mà
•Phần 1. Định hướng và phát triển tư duy giải bài tập toán khó. Trong từng bài là các bài toán tương tự các bài tập trong sách giáo khoa, bài tập quen thuộc,
Sách - Toán 6 - Các Bài Toán Thực Tế Tác Giả: Nhiều tác giả Nhà Xuất Bản: Giáo Dục Việt Nam
Chinh Phục Đề Thi Vào Lớp 6 Trường THCS Chất Lượng Cao Môn Toán CÁC ƯU ĐIỂM CỦA CUỐN SÁCH: 1. Tổng ôn 30 đề then chốt môn Toán. Việc luyện tập nhuần nhuyễn giúp
Sách - Đề Kiểm Tra Toán 9 (Bám Sát SGK Kết Nối Tri Thức Với Cuộc Sống) - HA Quý Thầy, Cô cùng các em học sinh thân mến! Sau khi thực hiện Chương trình
Sách - HƯỚNG DẪN ÔN LUYỆN VÀO LỚP 6 MÔN TIẾNG VIỆT Theo chương trình mới (Dùng cho cả 3 bộ sách) Tác giả:Diêu Lan Phương (chủ biên) Trần Thu Hoa Phan Thùy Dương Lê Thu
Sách - Đề Kiểm Tra Toán 9 (Bám Sát SGK Kết Nối Tri Thức Với Cuộc Sống) - HA Quý Thầy, Cô cùng các em học sinh thân mến! Sau khi thực hiện
Nhâm mục đích giúp giáo viên và các em học sinh có thêm tài liệu luyện tập, củng cố, mở rộng và nâng cao kiến thức, chúng tôi biên soạn bộ sách Trọng tâm ngữ
Sách - Bộ Đề Kiểm Tra Toán 9 (Bám Sát SGK Chân Trời Sáng Tạo) - HA Quý Thầy, Cô cùng các em học sinh thân mến! Sau khi thực hiện chương trình giáo
Sách - Đề Kiểm Tra Toán 9 (Bám Sát SGK Kết Nối Tri Thức Với Cuộc Sống) - HA Quý Thầy, Cô cùng các em học sinh thân mến! Sau khi thực hiện Chương trình
Mô Tả Sản Phẩm Chương 1: Số hữu tỉ Chương 2: Số thực Chương 3: Góc và đường thẳng song song Chương 4: Tam giác bằng nhau Chương 5: Thu thập và biểu diễn dữ
100 Bài Làm Văn Hay Lớp 7 Với môn Tiếng Việt lớp 7, các em sẽ được bổ sung một lượng kiến thức phong phú, mới mẻ và hấp dẫn. Các em cũng sẽ được
Nội dung gồm có: Bài 6: Bài học cuộc sống Bài 7: Thế giới viễn tưởng Bài 8: Trải nghiệm để trưởng thành Bài 9: Hòa điệu với tự nhiên Bài 10: Trang sách
Củng cố và ôn luyện Tiếng anh lớp 7 - theo chương trình mới nhất của Global Success. Cuốn sách được chia thành các đơn vị bài học tương tự như sách giáo khoa để
MÔ TẢ SẢN PHẨM Nhà xuất bản: NXB Dân Trí Tác giả: Nhiều tác giả Loại bìa: Bìa Mềm Số trang: 180 Năm xuất bản: 2025 150 Bài Văn Hay 8 Văn hay
Sách - Bài giảng và lời giải chi tiết tiếng anh 9 (dùng kèm sgk kết nối - global success) - HA Đáp ứng yêu cầu đổi mới trong Chương trình giáo dục phổ thông
👁️ 21 | ⌚2025-09-23 20:30:02.361


QUẦN LÓT MUJI TĂM TRE XUẤT NHẬT ️️ Quần lót là nơi trú ngụ của vi khuẩn, 4-5 thag nên thay 1 loạt để tránh viêm nhiễm nha - Quần chip xuất Nhật làm từ
THÔNG TIN PHÁT HÀNH SỐNG THỰC TẾ GIỮA ĐỜI THỰC DỤNG SKU 978-604-88-6829-1 Nhà xuất bản NXB Dân trí Kích thước 14,5 x 20,5 cm Tác giả Mễ Mông Dịch giả Bùi Nhung Thể loại
Sách - Lược Sử Tôn Giáo Hơn bảy tỷ người trên thế giới có thể viết một thứ gì đó khác chữ “Không” vào mục Tôn giáo trong hồ sơ của mình. Một số sinh
Truyện Kể Danh Nhân Truyền Cảm Hứng - Albert Einstein Albert sinh ra trong một gia đình vốn đã có khá nhiều người thông minh. Cha của Albert tên là Hermann, từng là một sinh
Level Up Lớp 5 - 100 Trò Chơi Từ Vựng Tiếng Anh Công ty phát hành: Alpha Books Nhà xuất bản: Nxb Thế Giới Tác giả: Nhiều tác giả Hình thức: Bìa mềm Số trang:
Dẫn Dắt Sự Thay Đổi Nhà Cung Cấp Alpha Books Tác giả John P. Kotter NXB NXB Thế Giới Năm XB 2020 Kích thước 13 x 20.5 cm Số trang 290 Hình thức Bìa Mềm
Mô tả: Sách - Lãnh Đạo Bản Thân - Self Leadership Cuốn sách nói về nghệ thuật lãnh đạo bản thân hay “lãnh đạo tự thân”, đó là khả năng tự ảnh hưởng lên chính
Mô tả: Tối Đa Hóa Năng Lực Bản Thân (Tái Bản 2018) Bạn cũng không thể âm thầm chờ đợi một cố vấn hoàn hảo nào đó sẽ xuất hiện và chỉ cho bạn cách
TẤT TẦN TẬT VỀ MẮT - Khám phá cửa sổ tâm hồn của muôn loài Thị giác là một giác quan trọng yếu của đa số các loài động vật. Thị giác giúp các loài
Headspace đưa ra góc nhìn gần gũi ở dạng hoạt hình về lợi ích của thiền định, đồng thời giới thiệu các kỹ thuật và thiền định có hướng dẫn để giúp bạn bắt đầu
Cuốn sách đưa ra những công thức các món ăn đậm chất Việt Nam từ khắp các vùng miền theo phong cách thực dưỡng. Đồng thời cũng là lời tâm sự của một người phụ
Level Up Lớp 4 - 100 Trò Chơi Từ Vựng Tiếng Anh Công ty phát hành: Alpha Books Nhà xuất bản: Nxb Thế Giới Tác giả: Nhiều tác giả Hình thức: Bìa mềm Số trang:
Tủ Sách Đời Người : Khuyến Học ( Omega+ ) Công ty phát hành: Omega+ Nhà xuất bản: Nxb Thế Giới Tác giả: Fukuzawa Yukichi Số trang: 250 Kích thước: 13x20.5cm Năm phát hành: 2023
Sách - 50 Điều Trường Học Không Dạy Bạn Và 20 Điều Cần Làm Trước Khi Rời Ghế Nhà Trường Công ty phát hành: Alphabooks Tác giả: Alpha Books biên soạn Năm xuất bản: 2023
Level Up Lớp 4 - 100 Trò Chơi Từ Vựng Tiếng Anh Công ty phát hành: Alpha Books Nhà xuất bản: Nxb Thế Giới Tác giả: Nhiều tác giả Hình thức: Bìa mềm Số trang:
Mô tả: Khả năng diễn thuyết là yếu tố quan trọng dẫn đến thành công. Một người biết ăn nói sẽ được tôn trọng, đánh giá cao trong công ty và dễ thu hút được
Mô tả: Tối Đa Hóa Năng Lực Bản Thân (Tái Bản 2018) Bạn cũng không thể âm thầm chờ đợi một cố vấn hoàn hảo nào đó sẽ xuất hiện và chỉ cho bạn cách
Cuốn sách tập trung phân tích quá trình hình thành, thực thi và đánh giá chính sách bảo vệ môi trường của Đài Loan từ năm 1987 đến nay. Đồng thời, cung cấp các bài
Công ty phát hành: Huy Hoàng Bookstore Tác giả: Jenna Hollenstein Số trang: 432 Nhà xuất bản: Phụ Nữ Việt Nam Năm xuất bản: 2020 Kích thước: 20.5 x 13.5 cm Bìa: Mềm Giới thiệu
Dẫn Dắt Sự Thay Đổi Nhà Cung Cấp Alpha Books Tác giả John P. Kotter NXB NXB Thế Giới Năm XB 2020 Kích thước 13 x 20.5 cm Số trang 290 Hình thức Bìa Mềm